Getting Insights About Refrigeration Leaks¶
Table of contents
Overview
Setup
Authorization Token
Utility Functions
Use Case Implementation
Querying for the refrigeration use case
Exploratory Data Analysis
Related Links
Overview¶
The IBM Envizi - Emissions API, Fugitive Emissions API is used in this sample application.
The notebook illustrates how to calculate fugitive emissions and perform a downstream analysis of fugitive emissions for organizations that operate large-scale and geographically-diverse refrigeration assets. These types of assets are fairly common in the food processing industry. The API requires the type of refrigerant and its consumption.
Business value
By leveraging these calculations, organizations can make data-driven decisions about refrigeration assets and their corresponding environmental impact.
Use Case
In this notebook, an example dataset of refrigeration assets will be used to demonstrate how the fugitive emissions API can get useful insights for an organization.
Setup¶
Ensure that Python 3+ is installed on your system.
Note: To run this notebook, you must first add your credentials to '../../../auth/secrets.ini'
in the following format:
[EAPI]
api.api_key = <Your Emissions API Key>
api.tenant_id = <Your Emissions API Tenant Id>
api.org_id = <Your Emissions API Org Id>
[ ]:
# Install the prerequisite Python packages
%pip install pandas configparser IPython geopy tqdm openpyxl matplotlib pycountry
[1]:
import configparser
import pandas as pd
import numpy as np
import requests
import json
import time
from tqdm import tqdm
from geopy.geocoders import Nominatim
import pycountry
Authorization Token¶
Run the following code snippet to generate a Bearer Token by using your api_key configured in secrets.ini.
[2]:
config = configparser.RawConfigParser()
config.read(['../../../auth/secrets.ini','../../../auth/config.ini'])
EAPI_API_KEY = config.get('EAPI', 'api.api_key')
EAPI_TENANT_ID = config.get('EAPI', 'api.tenant_id')
EAPI_CLIENT_ID = 'ghgemissions-' + EAPI_TENANT_ID
EAPI_ORG_ID = config.get('EAPI', 'api.org_id')
EAPI_AUTH_CLIENT_ID = 'saascore-' + EAPI_TENANT_ID
EAPI_AUTH_ENDPOINT = config.get('EAPI', 'api.auth_endpoint')
EAPI_BASE_URL = config.get('EAPI', 'api.base_url')
EAPI_ENDPOINT = f"{EAPI_BASE_URL}/fugitive"
auth_request_headers: dict = {}
auth_request_headers["X-IBM-Client-Id"] = EAPI_AUTH_CLIENT_ID
auth_request_headers["X-API-Key"] = EAPI_API_KEY
verify = True
auth_url = f"{EAPI_AUTH_ENDPOINT}/api-key?orgId={EAPI_ORG_ID}"
response = requests.get(url = auth_url,
headers = auth_request_headers,
verify = verify
)
if response.status_code == 200:
jwt_token = response.text
print("Authentication Success")
else:
print("Authentication Failed")
print(response.text)
Authentication Success
Utility Functions¶
The following utility functions will be defined to help load, format, and submit data to the Fugitive Emissions API:
read_excel_file
: Reads the input Excel file and performs data formattinggeo_coder
: Converts geolocation to addresscreate_payload
: Converts dict or dataframe-row to json format expected by the APIget_fugitive_emission_from_api
: Queries the API with a given payload and returns the CO2e
[3]:
def read_excel_file(excel_path, sheet_name):
"""
Reads the input excel file and performs data formatting
args:
excel_path: Path to the input spreadsheet file or a file like object
sheet_name: Sheet name to be read if there are multiple sheets
"""
## Read the excel file
if sheet_name:
data_orig_df = pd.read_excel(excel_path, sheet_name, header=[0,1],engine='openpyxl')
else:
data_orig_df = pd.read_excel(excel_path, header=[0,1],engine='openpyxl')
data_df = pd.DataFrame()
## process columns which require flatenning
column_dict = {}
column_dict['organisation' ] = data_orig_df['Organisation' ].columns
column_dict['geo_coordinates' ] = data_orig_df['Geo-coordinates' ].columns
column_dict['static_parameters' ] = data_orig_df['Static parameters' ].columns
column_dict['operational_parameters'] = data_orig_df['Operational parameters'].columns
column_dict['timestamp' ] = data_orig_df['Timestamp' ].columns
data_df[column_dict['organisation' ]] = data_orig_df['Organisation' ][column_dict['organisation' ]]
data_df[column_dict['geo_coordinates' ]] = data_orig_df['Geo-coordinates' ][column_dict['geo_coordinates' ]]
data_df[column_dict['static_parameters' ]] = data_orig_df['Static parameters' ][column_dict['static_parameters' ]]
data_df[column_dict['operational_parameters']] = data_orig_df['Operational parameters'][column_dict['operational_parameters']]
data_df[column_dict['timestamp' ]] = data_orig_df['Timestamp' ][column_dict['timestamp' ]]
## Process/copy remaining columns that do not require flattening
data_df['Asset id' ] = data_orig_df['Asset id' ] ## Keeping the asset id column name same
data_df['asset_type' ] = data_orig_df['Asset type' ]
data_df['Type' ] = data_orig_df['Commodity type' ]
# data_df['commodity_usage' ] = data_orig_df['Commodity Usage' ]
data_df['Consumption Quantity'] = data_orig_df['Consumption Quantity']
data_df['Unit' ] = data_orig_df['Consumption unit' ]
data_df['Asset id'] = data_df['Asset id'].apply(str)
if 'Emission' in data_orig_df.columns:
data_df[['emission']] = data_orig_df[['Emission']].values
return data_df
#reading refrigeration data(location,type etc)
read_excel_file('./refrigeration_leaks_insights.xlsx', 'Sheet1').head(3)
[3]:
Level 0 | Level 1 | Level 2 | Lat | Long | Cap | GWP | Age | leak% | Start Date (YYYY-MM-DD) | End Date (YYYY-MM-DD) | Asset id | asset_type | Type | Consumption Quantity | Unit | |
---|---|---|---|---|---|---|---|---|---|---|---|---|---|---|---|---|
0 | name1 | FOOD STORAGE | USA | 42.93 | -93.48 | 3900 | 1.273 | 19 | 25.25 | 2024-04-11 | 2025-04-11 | 14201 | Refrigeration | R-448A | 897.6 | kg |
1 | name1 | FOOD STORAGE | USA | 33.87 | -95.23 | 3600 | 0.573 | 5 | 14.18 | 2024-04-12 | 2025-04-12 | 14202 | Refrigeration | R-513A | 502.2 | kg |
2 | name1 | FOOD STORAGE | USA | 48.34 | -95.43 | 3800 | 2.235 | 15 | 22.81 | 2024-04-13 | 2025-04-13 | 14203 | Refrigeration | R-507A | 825.1 | kg |
[4]:
def geo_coder(lat, long):
"""
Converts geolocation to address
args:
lat: lattitue of the location
long: longitute og the location
returns:
country, state, city, zipcode
"""
geolocator = Nominatim(user_agent="geolocation_identifier_function")
location = geolocator.reverse(str(lat)+","+str(long),language='en')
try:
address = location.raw["address"]
except:
address={}
print((lat, long))
country = address['country' ] if 'country' in address else None
country = pycountry.countries.get(name=country).alpha_3
state = address['state' ] if 'state' in address else None
city = address['city' ] if 'city' in address else None
if 'postcode' not in address: zipcode = None
else:
zipcode = address["postcode"].split(':')[0] # use only first part of zipcode
if ' ' in zipcode: zipcode = zipcode.split(' ')[-1] # ignore the state code and use the last part of zipcode
if '-' in zipcode: zipcode = zipcode.split('-')[0] # use only first part of zipcode
return (country, state, city, zipcode)
[5]:
def create_payload(data):
"""
Converts dict or a row of dataframe to json format accepted by the API
args:
data: python dict or dataframe row
returns:
payload: json format accepted by the API
"""
## Convert lat-long to address for payload["location"]
country, state, city, zipcode = geo_coder(data["Lat"], data["Long"])
## create the JSON
payload = {}
payload["activity" ] = {"type": data["Type"],
"value": data["Cap"] - data["Consumption Quantity"],
"unit": data["Unit"]
}
payload["location" ] = {"country": country, "stateProvince": state}
payload["time" ] = {"date": str(data["Start Date (YYYY-MM-DD)"].date())}
return payload
#display(create_payload(read_excel_file('./refrigeration_leaks_insights.xlsx', 'Sheet1').head(100).iloc[99]))
[6]:
def get_fugitive_emission_from_api(payload):
"""
Queries the fugitive emission APIs and returns the CO2e emissions
args:
payload: Payload for which CO2 is required
returns:
CO2 emissions for the payload
"""
# Create the query headers
request_headers: dict = {}
request_headers["Content-Type"] = "application/json"
request_headers["x-ibm-client-id"] = EAPI_CLIENT_ID
request_headers["Authorization"] = "Bearer " + jwt_token
try:
response = requests.post(EAPI_ENDPOINT,
headers = request_headers,
data = json.dumps(payload))
emissions = json.loads(response.text)
return emissions['totalCO2e']
except:
print('API call failed with ', response.status_code)
return np.nan ## Return NaN if call fails
To see the expected values of the individual fields of the request payload, please see Emissions API Developer Guide.
Use Case Implementation¶
Querying for the refrigeration use case¶
In this section, the fugitive emissions are calculated using the Fugitive Emissions API for all the data, that is, rows in the spreadsheet. The following actions are performed:
The spreadsheet is read and processed by using
read_excel_file
,The lat-long information is converted to addresses by using
geo_coder
A payload is prepared by using
create_payload
The fugitive emission is requested from the API by using
get_fugitive_emission_from_api
[7]:
data = read_excel_file('./refrigeration_leaks_insights.xlsx', 'Sheet1')
CO2e = []
for i in tqdm(range(len(data))):
payload = create_payload(data.iloc[i])
CO2e.append(get_fugitive_emission_from_api(payload))
data['CO2e'] = CO2e
display(data.head(3).style.set_properties(subset=['CO2e'], **{'background-color': 'lightgreen'}).format(precision=2))
100%|██████████████████████████████████████████████████████████████████████████████████████████████████████████████████████████████████████| 73/73 [01:18<00:00, 1.08s/it]
Level 0 | Level 1 | Level 2 | Lat | Long | Cap | GWP | Age | leak% | Start Date (YYYY-MM-DD) | End Date (YYYY-MM-DD) | Asset id | asset_type | Type | Consumption Quantity | Unit | CO2e | |
---|---|---|---|---|---|---|---|---|---|---|---|---|---|---|---|---|---|
0 | name1 | FOOD STORAGE | USA | 42.93 | -93.48 | 3900 | 1.27 | 19 | 25.25 | 2024-04-11 00:00:00 | 2025-04-11 00:00:00 | 14201 | Refrigeration | R-448A | 897.60 | kg | 4486654.75 |
1 | name1 | FOOD STORAGE | USA | 33.87 | -95.23 | 3600 | 0.57 | 5 | 14.18 | 2024-04-12 00:00:00 | 2025-04-12 00:00:00 | 14202 | Refrigeration | R-513A | 502.20 | kg | 2086308.08 |
2 | name1 | FOOD STORAGE | USA | 48.34 | -95.43 | 3800 | 2.23 | 15 | 22.81 | 2024-04-13 00:00:00 | 2025-04-13 00:00:00 | 14203 | Refrigeration | R-507A | 825.10 | kg | 7838861.50 |
Exploratory Data Analysis¶
In this section, we demonstrate how you can use CO2 emissions data to generate valuable insights. We begin by examining scatter plots of CO2 emissions for various relevant parameters. This analysis helps to identify potential relationships between emissions and these parameters.
[8]:
import matplotlib.pyplot as plt
## Emissions vs Age
data.plot("Age", "CO2e", kind="scatter", figsize=(12,3), title="Emissions vs Age", ax=plt.subplot(131), color='tab:blue')
## Emissions vs Leak %
data.plot("leak%", "CO2e", kind="scatter", figsize=(12,3), title="Emissions vs Leak %", ax=plt.subplot(132), color='tab:orange')
## Emissions vs Consumption Quantity
data.plot("Consumption Quantity", "CO2e", kind="scatter", figsize=(12,3), title="Emissions vs Consumption", ax=plt.subplot(133), color='#28b463')
[8]:
<Axes: title={'center': 'Emissions vs Consumption'}, xlabel='Consumption Quantity', ylabel='CO2e'>

From these scatter plots plots, we can observe a few insights:
A strong correlation between emission and consumption.
A weak or no correlation of emission with Age and Leak%.
Emission vs consumption appears to be made up of different lines.
Another way to look at the data is to use seaborn-pairplot
. This plot type is widely used in data analysis and provides useful insights across different features by providing a convenient way to look at both correlation and distribution of the available data. We can also apply the best fit line to the scatter plots.
[9]:
import seaborn as sns
sns.pairplot(data[["Age", "leak%", "Consumption Quantity", "CO2e"]],
kind='reg',
height=1.5,
plot_kws={'line_kws':{'color':'tab:orange'}, 'marker':'.', 'color':'#3498db'},
diag_kws={'color':'#28b463', 'edgecolor':'#28b463', 'alpha':0.7})
[9]:
<seaborn.axisgrid.PairGrid at 0x14f460a10>

The sns-pairplot with the best fit line provides a lot more insights:
The positive slope of best fit line shows correlation between leak% and emissions. This insight was not clear from the plain scatter plot.
A small correlation between age and emissions can also be observed.
A high correlation between leak% and consumption is seen. Intuitively, a higher leak value should result in higher consumption.
We can also observe a positive slope in leak% vs age plot which suggests that older assets might have higher leakage.
The histogram in the diagonal plane of the diagram provides the distribution of different features, for example, most of the assets are approximately 10 years old.
These insights are quite useful when you select features for a model.
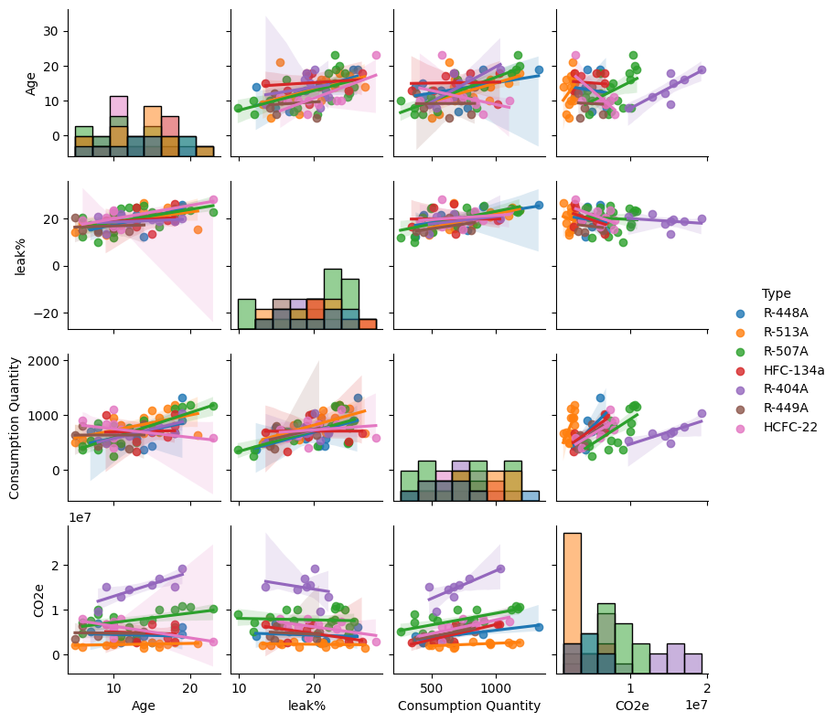
In analyzing the data this far, it might be that the type of refrigerant used has an impact on the quantity of emission. Let’s segregate the data by the refrigerant, which is commodity_type, to test this assumption:
[10]:
## segregate the data by the refrigerant(commodity_type)
sns.pairplot(data[["Age", "leak%", "Consumption Quantity", "Type", "CO2e"]],
kind='reg',
height=2,
diag_kind="hist",
hue="Type")
[10]:
<seaborn.axisgrid.PairGrid at 0x3105d90d0>

These plots indicate that the assumption is correct. The type of refrigerant has an impact on the quantity of emission.
The refrigerant R-404A, which is indicated in purple, has the highest slope compared to the other types which means the highest emission per unit of refrigerant used.
Phasing out R-404A units and replacing them with R-513A units, which are indicated in orange, or HFC-132A units, which are indicated in red, can reduce the overall CO2 Emissions of the organization.